This is a PyTorch-based R-YOLOv4 implementation which combines YOLOv4 model and loss function from R3Det for arbitrary oriented object detection. (Final project for NCKU INTRODUCTION TO ARTIFICIAL INTELLIGENCE course)
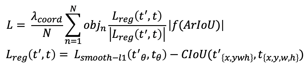
The objective of this project is to adapt YOLOv4 model to detecting oriented objects. As a result, modifying the original loss function of the model is required. I got a successful result by increasing the number of anchor boxes with different rotating angle and combining smooth-L1-IoU loss function proposed by R3Det: Refined Single-Stage Detector with Feature Refinement for Rotating Object into the original loss for bounding boxes.
Cosine Annealing with Warmup (Reference: Cosine Annealing with Warmup for PyTorch)
As the paper suggested, I get a better results from **f(ariou) = exp(1-ariou)-1**. Therefore I used it for my loss function.
-
Clone and Setup Environment
$ git clone https://github.com/kunnnnethan/R-YOLOv4.git $ cd R-YOLOv4/Create Conda Environment
$ conda env create -f environment.ymlCreate Python Virtual Environment
$ python3.8 -m venv (your environment name) $ source ~/your-environment-name/bin/activate $ pip3 install torch torchvision torchaudio $ pip install -r requirements.txt -
Download pretrained weights
weights -
Make sure your file's arrangement looks like the following
Note that each of your dataset folder indatashould split into three files, namelytrain,test, anddetect.R-YOLOv4/ ├── train.py ├── test.py ├── detect.py ├── xml2txt.py ├── environment.xml ├── requirements.txt ├── model/ ├── datasets/ ├── lib/ ├── outputs/ ├── weights/ ├── pretrained/ (for training) └── UCAS-AOD/ (for testing and detection) └── data/ └── UCAS-AOD/ ├── class.names ├── train/ ├── ...png └── ...txt ├── test/ ├── ...png └── ...txt └── detect/ └── ...png -
Train, Test, and Detect
Please refer tolib/options.pyto check out all the arguments.
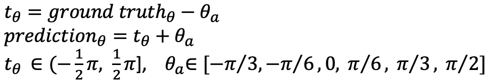
I have implemented methods to load and train three different datasets. They are UCAS-AOD, DOTA, and custom dataset respectively. You can check out how I loaded those dataset into the model at /datasets. The angle of each bounding box is limited in (- pi/2, pi/2], and the height of each bounding box is always longer than it's width.
You can run display_inputs.py to visualize whether your data is loaded successfully.
Please refer to this repository to rearrange files so that it can be loaded and trained by this model.
You can download the weight that I trained from UCAS-AOD.
While training, please specify which dataset you are using.
$ python train.py --dataset UCAS_AOD
Download the official dataset from here. The original files should be able to be loaded and trained by this model.
While training, please specify which dataset you are using.
$ python train.py --dataset DOTA
- Use labelImg2 to help label your data. labelImg2 is capable of labeling rotated objects.
- Move your data folder into the
R-YOLOv4/datafolder. - Run xml2txt.py
- generate txt files:
python xml2txt.py --data_folder your-path --action gen_txt - delete xml files:
python xml2txt.py --data_folder your-path --action del_xml
- generate txt files:
A trash custom dataset that I made and the weight trained from it are provided for your convenience.
While training, please specify which dataset you are using.
$ python train.py --dataset custom
---- [Epoch 2/2] ----
+---------------+--------------------+---------------------+---------------------+----------------------+
| Step: 596/600 | loss | reg_loss | conf_loss | cls_loss |
+---------------+--------------------+---------------------+---------------------+----------------------+
| YoloLayer1 | 0.4302629232406616 | 0.32991039752960205 | 0.09135108441114426 | 0.009001442231237888 |
| YoloLayer2 | 0.7385762333869934 | 0.5682911276817322 | 0.15651139616966248 | 0.013773750513792038 |
| YoloLayer3 | 1.5002599954605103 | 1.1116538047790527 | 0.36262497305870056 | 0.025981156155467033 |
+---------------+--------------------+---------------------+---------------------+----------------------+
Total Loss: 2.669099, Runtime: 404.888372
If you would like to use tensorboard for tracking traing process.
- Open additional terminal in the same folder where you are running program.
- Run command
$ tensorboard --logdir='weights/your_model_name/logs' --port=6006 - Go to http://localhost:6006/
| Method | Plane | Car | mAP |
|---|---|---|---|
| YOLOv4 (smoothL1-iou) | 98.05 | 92.05 | 95.05 |
DOTA have not been tested yet. (It's quite difficult to test because of large resolution of images)


| Method | Plane | Car | mAP |
|---|---|---|---|
| YOLOv4 (smoothL1-iou) | 100.00 | 100.00 | 100.00 |
- Mosaic Augmentation
- Mixup Augmentation
yangxue0827/RotationDetection
eriklindernoren/PyTorch-YOLOv3
Tianxiaomo/pytorch-YOLOv4
ultralytics/yolov5
YOLOv4: Optimal Speed and Accuracy of Object Detection
Alexey Bochkovskiy, Chien-Yao Wang, Hong-Yuan Mark Liao
Abstract There are a huge number of features which are said to improve Convolutional Neural Network (CNN) accuracy. Practical testing of combinations of such features on large datasets, and theoretical justification of the result, is required. Some features operate on certain models exclusively and for certain problems exclusively, or only for small-scale datasets; while some features, such as batch-normalization and residual-connections, are applicable to the majority of models, tasks, and datasets...
@article{yolov4,
title={YOLOv4: Optimal Speed and Accuracy of Object Detection},
author={Alexey Bochkovskiy, Chien-Yao Wang, Hong-Yuan Mark Liao},
journal = {arXiv},
year={2020}
}
R3Det: Refined Single-Stage Detector with Feature Refinement for Rotating Object
Xue Yang, Junchi Yan, Ziming Feng, Tao He
Abstract Rotation detection is a challenging task due to the difficulties of locating the multi-angle objects and separating them effectively from the background. Though considerable progress has been made, for practical settings, there still exist challenges for rotating objects with large aspect ratio, dense distribution and category extremely imbalance. In this paper, we propose an end-to-end refined single-stage rotation detector for fast and accurate object detection by using a progressive regression approach from coarse to fine granularity...
@article{r3det,
title={R3Det: Refined Single-Stage Detector with Feature Refinement for Rotating Object},
author={Xue Yang, Junchi Yan, Ziming Feng, Tao He},
journal = {arXiv},
year={2019}
}







