Skip to content

Optimization Case Studies: Generic Time Scheduling Problem (GTSP), Resource-Constrained Project Scheduling Problem (RCPSP) with Pulse Variables

Notifications You must be signed in to change notification settings

timbrgr/complex-scheduling-optimization-case-studies

Folders and files

NameName
Last commit message
Last commit date

Latest commit

 

History

6 Commits
 
 
 
 
 
 
 
 
 
 

Repository files navigation

Complex Scheduling Case Studies

Case Study 1: The Generic Time Scheduling Problem (GTSP)

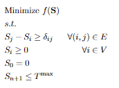
Given a project plan as directed graph $ G = (V,E) $ with activities $ V $, time lag relations $ E $, are weights $ \delta_{ij}, (i,j) \in E $ and starting times $ S_i, \forall i \in V$.

Formulate the optimization model of the Generic Time Scheduling Problem

Alt text

with the objective function to minimize the sum of the (unweighted) starting time (WST objective function):

$$ f(S) = \sum_{i \in V} S_i $$

Case Study 2: Resource-Constrained Project Scheduling Problem (RCPSP) with Pulse Variables

About

Optimization Case Studies: Generic Time Scheduling Problem (GTSP), Resource-Constrained Project Scheduling Problem (RCPSP) with Pulse Variables

Topics

Resources

Stars

Watchers

Forks

Releases

No releases published

Packages

No packages published

Languages